Lompat ke konten Lompat ke sidebar Lompat ke footer

Akar Pangkat 3 Dari 50653 Adalah - Ppt Angka Kuadrat Powerpoint Presentation Free Download Id 3246196 : akar pangkat 3 dari 941.192.

Dengan maksud berapa pangkat dua yang hasilnya adalah 4, dengan hasil 2. 4 2 = 4 x 4 = 16 maka akar pangkat dua dari 16 = 4. 824 pangkat tiga yang hasil belakangnya 4, angka terakhirnya adalah 4. Sedangkan untuk menentukan akar pangkat. 21 contoh soal akar pangkat 3 dan pembahasan.

Cara cepat menghitung akar pangkat tiga. Rleni Files Web Viewcara Menarik Akar Pangkat Tiga Dari Suatu Bilangan Bulat Tabel 1 Dan Tabel Docx Document
Rleni Files Web Viewcara Menarik Akar Pangkat Tiga Dari Suatu Bilangan Bulat Tabel 1 Dan Tabel Docx Document from demo.fdokumen.com
Contoh soal akar pangkat 2 dan 3. 13 23 = 8 < 7 × 7 × 7 × 7 × 7 c. Sekarang kita akan mencari akar pangkat. 2) menggunakan daftar bilangan pangkat tiga. Misalnya akar pangkat 5 dari 32 adalah 2. Setelah menghitung pangkat dari sebuah bilangan tentunya ada lawannya dong. Dan inilah yang harus dihafal 1 2 = 1 2 2 = 4 3 2 = 9 4 2 = 16 5 2 = 25 6 2 = 36 7 2 = 49 8 2 = 64 9 2 = 81 10 2 = 100 mencari akar pangkat dua pada bilangan besar bilangan kuadrat adalah bilangan yang sudah baku.

4 disebut basis, dan 10 merupakan pangkatnya.

Sebenarnya hasilnya 19,3 mengikuti kaidah angka penting yang tituliskan pada nomor 1. √27 = 3 karena 3 x 3 x 3 = 27. Semua bilangan apabila a ≠ 0 jika dipangkatkan 0 hasilnya sama dengan 1. Pengubahan yang dilakukan adalah memasukkan x yang diluar akar ke dalam akar. Bilangan antara 0 dan 1: akar pangkat tiga dari sebarang bilangan dengan a ³ 0 adalah bilangan positif atau nol. akar pangkat 3 dari sebarang bilangan dengan a > Hubungan antara pangkat tiga dengan penarikan akar pangkat tiga suatu bilangan adalah sebagai berikut: 4 2 = 4 x 4 = 16 maka akar pangkat dua dari 16 = 4. Contoh yang kedua kita akan menghitung akar 4 dengan rumus sebagai berikut : 5 2 = 5 x 5 = 25 maka akar pangkat dua dari. Soal matematika akar pangkat tiga untuk menguji pemahaman tentang menentukan akar pangkat tiga suatu bilangan kubik berikut ini beberapa contoh soal dan pembahasanya. Untuk menentukan hasil akar pangkat tiga bisa dilihat pada tabel di atas.

1 2 = 1 x 1 = 1 maka akar pangkat dua dari 1 = 1. To play this quiz, please finish editing it. Menghitung secara manual pangkat 3. Contoh yang lain 7 3 = 7 x 7 x 7 hasilnya adalah 343 jadi 7 3 = 343. Sekaran kita coba bahas beberapa contoh pertanyaan yang mungkin akan kamu jumpai dalam berbagai tes atau ujian.

akar pangkat tiga dari sebarang bilangan dengan a ³ 0 adalah bilangan positif atau nol. Trik Matematika
Trik Matematika from imgv2-2-f.scribdassets.com
Sekarang kita akan mencari akar pangkat. Setelah di ambil 3 digit masih tersisa angka 941. 21 contoh soal akar pangkat 3 dan pembahasan. Cara cepat menghitung akar pangkat tiga. Jadi akar pangkat 3 dari 250.047 adalah 63; Lihat dan pisahkan tiap 3 angka dari belakang : Bilangan 4 tidak memenuhi karena melebihi nilai bilangan kelompok, yaitu 4 3 = 64. Rangkuman materi, contoh soal bilangan berpangkat &

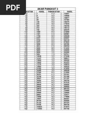
1 3 = 1 6 3 = 216 2 3 = 8 7 3 = 3433 3 = 27 8 3 = 5124 3 = 64 9 3 = 7295 3 = 125 10 3 = 1.000.

1 2 = 1 x 1 = 1 maka akar pangkat dua dari 1 = 1. 1 3 = 1 10 3 = 1000 20 3 = 8000 30 3 = 27000 2 3 = 8 11 3 = 1331 21 3 = 9261 31 3 = 29791 3 3 = 27 12 3 = 1728 22 3 = 10648 32 3 = 32768 4 3 = 64 13 3 = 2197 23 3 = 12167 33 3 = 35937 5 3 = 125 14 3 = 2744 24 3 = 13824 34 3 = 39304 6 3 = 216 15 3 = 3375 25 3 = 15625 35 3 = 42875 7 3. Contoh yang lain 7 3 = 7 x 7 x 7 hasilnya adalah 343 jadi 7 3 = 343. 0 yaitu bilangan positif ataupun nol. Faktor pengali lebih besar pemangkatan 10 harus memiliki dari 1 dan kurang dari 10 → 2,3 × 10 3 ← pangkat bilangan bulat. Simbol adalah akar kuadrat (akar pangkat dua) dari a. Pertama saya akan menjelaskan cara membaca akar pangkat dua tersebut. 12 langkah rumus akar kuadrat beserta contoh soalnya akar pangkat 3 dari 2744 = akar pangkat 3 dari 2. Diatas adalah tabel akar pangkat dua dari 1 sampai 10. Untuk angka 3 = bilangan apa yang di pangkatkan 3 hasilnya mendekati 3. Contoh yang kedua kita akan menghitung akar 4 dengan rumus sebagai berikut : 4 10 berarti "kalikan 4 dengan dirinya sendiri sehingga ada 10 buah 4 dalam perkalian." U = 2x + 4.

Lakukan pengecekan 34 x34 x 34 = 39.304. akar pangkat tiga dari sebarang bilangan dengan a ³ 0 adalah bilangan positif atau nol. akar (400) = akar (25 × 16) simulasi soal sbmptn 2021! 21 contoh soal akar pangkat 3 dan pembahasan. akar pangkat tiga dari 15.625adalah ….

3√a ³ 0 untuk a ³ 0 " Menebak Hasil Akar Pangkat 3
Menebak Hasil Akar Pangkat 3 from cdn.slidesharecdn.com
Sehingga para sahabat bisa mengerti dan memahami soal akar pangkat 3 yang kami posting untuk anda semua. Bilangan dengan nilai pangkat tiga yang paling mendekati 54 adalah 3 dengan nilai pangkat tiga sama dengan 27. Cara hitung rumus akar pangkat 3 dan pangkat 2 sederhana. Basis dari bentuk perpangkatan 10 memiliki pangkat; 1 3 = 1 6 3 = 216 2 3 = 8 7 3 = 3433 3 = 27 8 3 = 5124 3 = 64 9 3 = 7295 3 = 125 10 3 = 1.000. Contoh soal akar pangkat 2 dan 3. =power(a5;1/b5) hasil dari akar 4 bilangan 10.000 dengan menggunakan rumus tersebut diatas adalah 10. Cara hitung pangkat 3 dan akar pangkat 3.

akar kuadrat atau akar pangkat 2 adalah kebalikan dari operasi pangkat 2 atau invers pangkat 2 suatu bilangan.

Diatas adalah tabel akar pangkat dua dari 1 sampai 10. Dapat digunakan untuk menghitung akar pangkat 4 dari nilai tertentu. Gunakan tombol download yang tersedia kemudian buka link download yang muncul. Contoh.1 untuk mencari nilai akar kuadrat dari 1,53 dengan angka 1,5 dibaca pada kolom pertama, sedangkan angka 3 dibaca pada baris pertama. Namun sesuai konsep awal kita menghitungnya dengan menggunakan excel. Sebelum mengerjakan soal operasi hitung akar dan pangkat tiga maka kita harus menghafal bilangan pangkat tiga dari kubik dasar yaitu : Ada dua langkah untuk menentukan akar pangkat tiga, misalkan hasil akhir akar pangkat tiga dari 91125 adalah dua bilangan bulat xy, maka: Misalnya akar pangkat 5 dari 32 adalah 2. Hubungan antara pangkat tiga dengan penarikan akar pangkat tiga suatu bilangan adalah sebagai berikut: Demikian pula, bilangan dengan pangkat 1/3 disebut akar pangkat tiga dari pokok. Bilangan berpangkat adalah perkalian berulang dengan bilangan itu sendiri sebanyak bilangan pangkat tersebut. Hasil sebenarnya menurut kaidah angka penting adalah 750 atau 75 x 10 yang mengikuti kaidah angka penting karena 9,1 memiliki dua angka penting, maka yang menjadi hasil adalah bagian kiri terlebih dahulu. Contoh akar pangkat tiga dari 512 adalah 8.

Akar Pangkat 3 Dari 50653 Adalah - Ppt Angka Kuadrat Powerpoint Presentation Free Download Id 3246196 : akar pangkat 3 dari 941.192.. Soal matematika akar pangkat tiga untuk menguji pemahaman tentang menentukan akar pangkat tiga suatu bilangan kubik berikut ini beberapa contoh soal dan pembahasanya. Kalau ada yang mau latihan, coba saja cari akar pangkat tiga dari bilangan 7645373, 31855013, 286191179, 410172407, 590589719 dan 904231063. Cara hitung pangkat 3 dan akar pangkat 3. akar pangkat tiga dari 884.736 adalah. 1 3 = 1 6 3 = 216 2 3 = 8 7 3 = 3433 3 = 27 8 3 = 5124 3 = 64 9 3 = 7295 3 = 125 10 3 = 1.000.

Posting Komentar untuk "Akar Pangkat 3 Dari 50653 Adalah - Ppt Angka Kuadrat Powerpoint Presentation Free Download Id 3246196 : akar pangkat 3 dari 941.192."